更新相關圖表

(Ø3.5齒輪壓合數據與模型引導曲線)

(Ø3.5齒輪壓合數據與模型引導曲線)

(Ø3.5齒輪壓合數據與模型引導曲線)

(Ø3.5齒輪壓合數據與模型引導曲線)

(Ø3.5齒輪的引導曲線)

(Ø3.5齒輪的引導曲線)

(Ø3.5齒輪的引導曲線 - 歸1化)

(Ø3.5齒輪的引導曲線 - 歸1化)

(Ø3.5齒輪的引導曲線1 - 歸1化)

(Ø3.5齒輪的引導曲線2 - 歸1化)

(Ø3.5齒輪的引導曲線3 - 歸1化)

(Ø3.5齒輪的3條引導曲線平均 - 歸1化)

(Ø3.5齒輪的3條引導曲線平均 - 歸1化)

(Ø3.5齒輪的3條引導曲線平均 - 歸1化)

(Ø3.5齒輪的3條引導曲線平均與容差帶)

(Ø5.5齒輪壓合數據與模型引導曲線)

(Ø5.5齒輪壓合數據與模型引導曲線)

(Ø5.5齒輪的引導曲線 - 歸1化)

(Ø5.5齒輪的引導曲線 - 歸1化)

(故意破壞數據與模型的引導曲線)

(故意破壞數據與模型的引導曲線)

(Ø5.5齒輪的引導曲線1 - 歸1化)

(Ø5.5齒輪的引導曲線2 - 歸1化)

(Ø5.5齒輪的引導曲線3 - 歸1化)

(Ø5.5齒輪的3條引導曲線平均 - 歸1化)

(Ø5.5齒輪的正常壓合數據 vs. Ø5.5齒輪故意破壞實驗對照組)

(Ø5.5齒輪的3條引導曲線平均 - 歸1化)

(Ø5.5齒輪的3條引導曲線平均 - 歸1化)

(Ø5.5齒輪的3條引導曲線平均與容差帶)

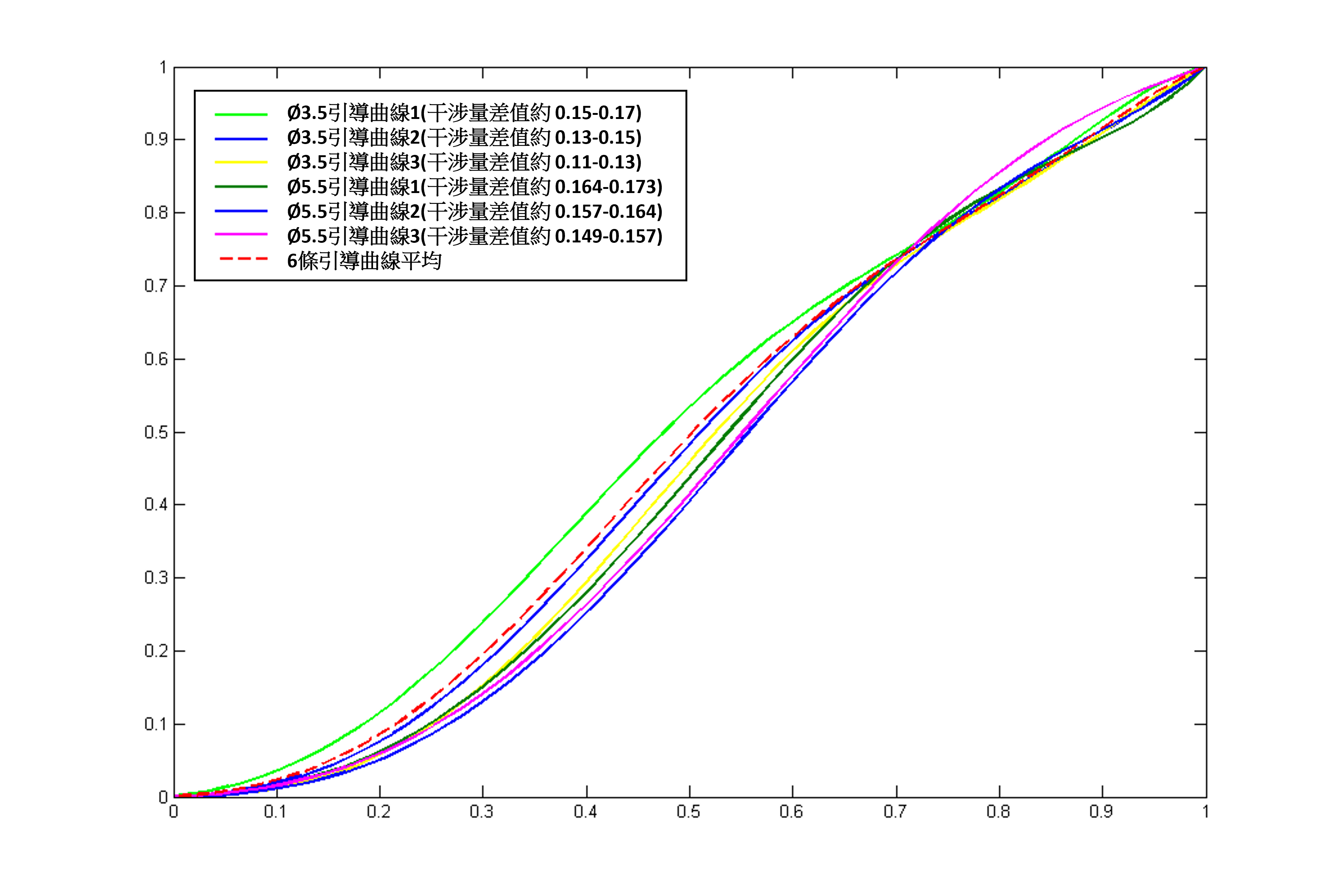
(Ø3.5 & Ø5.5齒輪的引導曲線 - 歸1化)

(Ø3.5 & Ø5.5齒輪的引導曲線 - 歸1化)

(Ø3.5齒輪壓合接近引導曲線之比例)

(Ø5.5齒輪壓合接近引導曲線之比例)

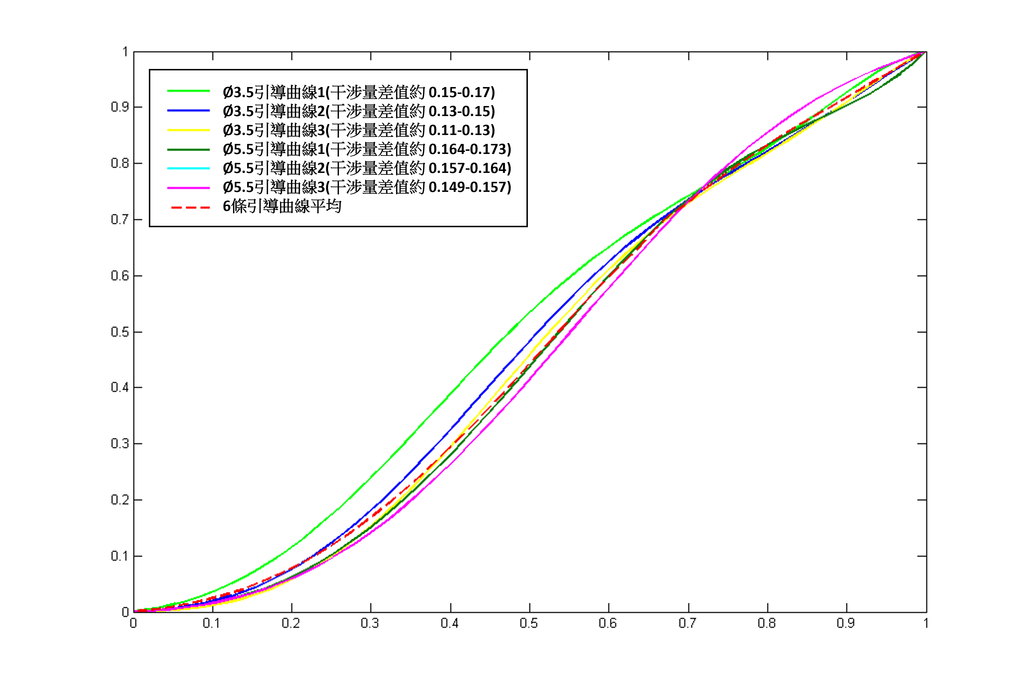
(Ø3.5 & Ø5.5齒輪的引導曲線 - 歸1化) 相同起始位址
%%%%%%%%%%%%%%%%%%%%%%%%%%%%%%%%%%%%%%%%%%%%%%%%%%%%%%%%%%%%%%%%%

(Ø3.5 & Ø5.5齒輪的引導曲線 - 歸1化) 相同起始位址

(Ø3.5 & Ø5.5齒輪的引導曲線 - 歸1化)


(Ø3.5 & Ø5.5齒輪的引導曲線 - 歸1化)
