主旨:傅立葉統計分析
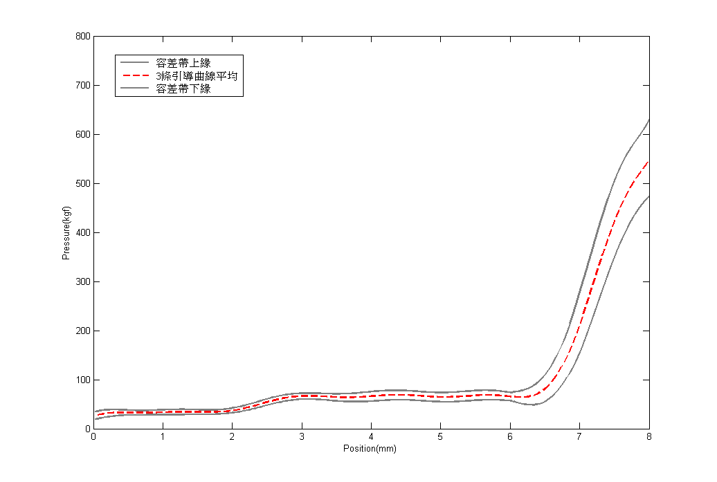
說明:壓合產品時會經由傅立葉統計分析出一條,平均擬合曲線當成基準線,透過設定其上下限%方法,來規範產品的品質限度。


傅立葉級數n階
傅立葉級數是一種將週期性的複雜波形表示成一組簡單波形(正弦波和餘弦波)疊加的數學方法。1階到8階的傅立葉級數,指的是用一階、二階...直到八階的正弦波和餘弦波來近似原本的波形,每階代表加入了一對正弦函數和餘弦函數。階數越高,表達的波形細節越多,近似越精確,但同時計算也更複雜。簡單來說1階傅立葉級數只用一對簡單振動的波形來表示原始波形的大致趨勢,隨著階數增加(直到8階),會加入更多頻率更高的波形來補充細節,讓整體波形更接近真實形狀,這是一種將複雜波形拆解為多個不同頻率波形組合,方便分析和處理的方法,其核心概念是用不同頻率的弦波累加來模擬複雜信號。
傅立葉級數維基百科
https://zh.wikipedia.org/zh-tw/
一、透過傅立葉係數你可以量化每個樣品的波動特徵並進行統計比較:
當你做壓合測試,例如:量測壓力kgf 隨位移 0–115 mm 的變化時,通常會得到一條曲線,這條曲線可能有波動、起伏、機構造成的週期性振動、或壓合機本身的特性造成。
1.舉例說明
當用在量測壓合力kgf行程 115mm 時的意義,若你有n筆數據:位移 0–115 mm,每 0.1–1 mm 取樣一次得到壓力kgf你可能看到的曲線是這樣:
- 整體壓力是上升或下降的趨勢
- 中間有輕微回振波動
- 有部分是機台造成如訊號回饋
- 有部分是材料特性造成如剛性

二、傅立葉擬合的作用是:
1.將整體壓合力行程曲線分解成不同阻力階段
例如:
- 低阻力階段:啟始壓力形成
- 中阻力階段:壓力結構趨勢
- 高阻力階段:高壓力點分布

2.產生一條平均引導曲線
這條曲線可以用於:
- 繪圖
- 做統計
- 找特性點
3.看出是否有異常振動
- 當某頻率突然變大,表示壓合過程有異常波動,可當作品管指標。

三、結總
傅立葉級數各階的物理意義:
- 1階(基頻)代表信號的基本振動頻率,是整個波形中頻率最低且最主要的成分,反映波形的整體週期性。
- 2階到6階等高階數代表基本頻率的倍數諧波,這些倍頻諧波會增加波形的細節和複雜度,能表示波形中的快速變化和細微結構。
- 較高階(如7、8階)則捕捉較小幅度但較高頻率的變化,對波形的細節和鋸齒狀等非平滑特徵有顯著影響。
透過調整各階的幅度和相位,可以精確重建原信號,這種分解有助於理解信號的頻率結構和物理特性,比如機械振動中的不同頻率成分對系統行為的影響,因此在應用實際數據,如壓合力與行程關係的數據時,每一階傅立葉成分代表在該特定頻率下的數據變化模式,透過擬合不同階數,可以捕捉壓力行程曲線中的主要趨勢與細節。
