walex.io
Log in

工研院-IDP-齒輪數據初步繪製

created: 2025-10-01 13:35:16modified: 2025-10-07 07:08:50
public
Selena Lin

數據說明:

直徑22 & 32 各50組數據 

22破壞力矩>50kg-cm => 50組數據全數通過

22破壞力矩>100kg-cm => 50組數據全數通過


數據資料包含 時間(毫秒)/ 壓力 / 位置

先初步將兩種直徑規格的齒輪伺服壓床數據繪製出來

x-axis : time

y-axis : 壓力 & 位置

(No.1 第1組數據)


所有50組的圖片位置:

https://drive.google.com/drive/folders/11MSKOKP7P__v5tT1RZkjctrjeEEbo-ZH


全部壓力值一起繪製
左: D_22
右: D_32



全部位置值一起繪製
左: D_22
右: D_32



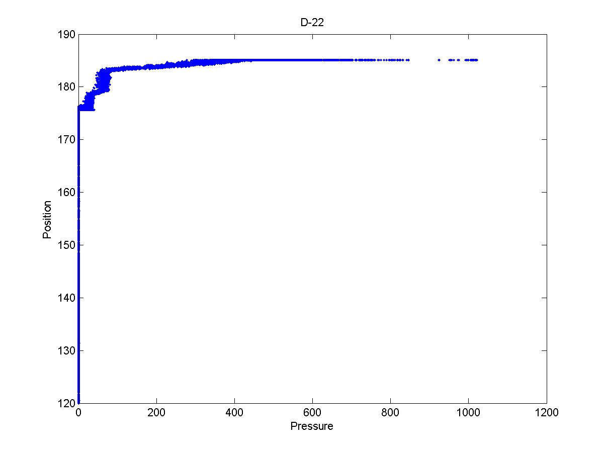
壓力 vs. 位置 點圖(全部資料)

x-axis : 壓力

y-axis : 位置



壓力 vs. 位置 點圖(No.1 第1組數據)

x-axis : 壓力

y-axis : 位置




IDP 數據 : 

https://walex.io/captainslog/page.php?id=10449


1
2